主成分分析法 PCA Principal Component Analysis
一个非监督的机器学习算法
主要用于数据的降维
通过降维,可以发现更便于人类理解的特征
其他应用:可视化,去噪
二维降至一维
 如何把图中的二维空间中的点降至一维?
如何把图中的二维空间中的点降至一维?
 以上三种方法哪种更好?
第三种,因为第三种最大程度地保留了原数据之间的关系. 概率论与数理统计中, 方差(Variance)描述了样本整体疏密的一个指标.
以上三种方法哪种更好?
第三种,因为第三种最大程度地保留了原数据之间的关系. 概率论与数理统计中, 方差(Variance)描述了样本整体疏密的一个指标.
如何找到这个样本间间距(方差)最大的轴?
Var(x)=m1i=1∑m(xi−xˉ)2(1) 其中 xˉ 代表x的平均值。
第一步:将所有样本的均值归0 (demean)
 由于均值为0,则公式(1)可以化简为:
由于均值为0,则公式(1)可以化简为:
Var(x)=m1i=1∑m(xi−xˉ)2=m1i=1∑mxi2(2) 这里的x是样本映射到坐标轴以后的新的样本的值 Xproject 。
第二步:求一个轴的方向w = (w1, w2),使用所有的样本映射到w以后,有 Var(Xproject) 最大:
Var(Xproject)=m1i=1∑m∣∣xproject(i)∣∣2(3) 推导过程:
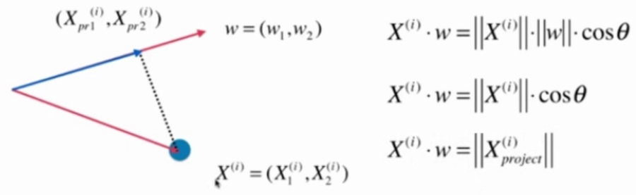
 假设均值化之后的x的坐标为
假设均值化之后的x的坐标为
X(i)=(X1(i),X2(i)) 要映射的坐标轴为 w−w1,w2
X(i) 映射到 w−w1,w2 之后的新坐标为
Xpr(i)=(Xpr1(i),Xpr2(i))
那么, ∣∣xproject(i)∣∣ 为:
∣∣xproject(i)∣∣=X(i)⋅w 代入公式(3)得:
Var(Xproject)=m1i=1∑m∣∣X(i)⋅w∣∣2(4) 目标是最大化公式(4),这是一个求目标函数的最优化问题,使用梯度上升法解决。
主成分分析法和线性回归的区别
| 主成分分析 | 线性回归 --|---|-- 坐标轴 | 2个特征 | 1个特征和输出标记 要求的是什么 | 一个方向 | 一根直线 经过点的线与什么垂直 | 所求的方向垂直 | x轴 目标 | 方差最大 | MSE最小