functions
logistic sigmoid函数

意义:
通常用来产生Bernoulli分布中的参数
当|x|非常大时会饱和,饱和是指的变化非常缓慢。
softplus函数

意义:
用于产生高斯分布的或参数,
是函数是平滑形式
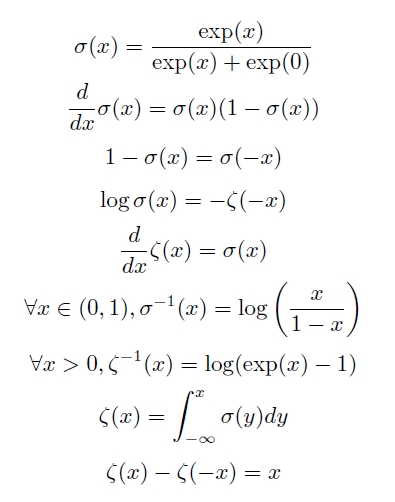
有用性质:

径向基函数 Radial Basis Function
将一个点到另一个点的距离映射成一个实值的函数。 这里面有三个未知: (1)另一个点是什么点?默认是原点,也可以是指定点p。 (2)距离是什么距离?一般都使用欧氏距离 (3)对距离做怎样的操作?不同的RBF只要是这一点的不同。
欧氏径向基
距离为欧氏距离:
操作为线性操作:
高斯径向基
距离为欧氏距离 操作为高斯函数:
Last updated
Was this helpful?