5-4 参数计算向量化
5-3中计算a, b的实现方法性能较低,使用向量化运算能提高性能
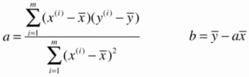
即把以下公式向量化: 
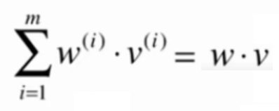
向量化的依据:

向量化计算a, b
import numpy as np
class SimpleLinearRegression2:
def __init__(self):
"""初始化Single Linear Regression模型"""
self.a_ = None
self.b_ = None
def fit(self, x_train, y_train):
"""根据训练数据集X_train, y_train训练Single Linear Regression模型"""
assert x_train.ndim == 1, "Simple Linear Regressor can only solve single feature training data"
assert len(x_train) == len(y_train), "the size of x_train must be equal to the size of y_train"
x_mean = np.mean(x_train)
y_mean = np.mean(y_train)
num = (x_train - x_mean).dot(y_train - y_mean)
d = (x_train - x_mean).dot(x_train - x_mean)
self.a_ = num / d
self.b_ = y_mean - self.a_ * x_mean
def predict(self, x_predict):
"""给定待测数据集X_predict,返回表示x_predict的结果向量"""
assert x_predict.ndim == 1, "Simple Linear Regressor can only solve single feature training data"
assert self.a_ is not None and self.b_ is not None, "must fit before predict"
return [self._predict(x) for x in x_predict]
def _predict(self, x_single):
"""给定单个待预测数据s_single,返回x_single的预测结果"""
return self.a_ * x_single + self.b_
def __repr__(self):
return "SimpleLinearRegression2()"绘制结果
import numpy as np
import matplotlib.pyplot as plt
x = np.array([1., 2., 3., 4., 5.])
y = np.array([1., 3., 2., 3., 5.])
reg2 = SimpleLinearRegression2()
reg2.fit(x, y)
y_hat2 = reg2.predict(x)
plt.scatter(x, y)
plt.plot(x, y_hat2, color='r')
plt.axis([0, 6, 0, 6])
plt.show()输出结果: 
向量化实现的性能测试
m = 1000000
big_x = np.random.random(size = m)
big_y = big_x * 3.0 + 2.0 + np.random.normal(size = m)
%timeit reg1.fit(big_x, big_y) # reg1见5-4
%timeit reg2.fit(big_x, big_y)输出结果: 1.15 s ± 12.7 ms per loop (mean ± std. dev. of 7 runs, 1 loop each) 25.2 ms ± 2.08 ms per loop (mean ± std. dev. of 7 runs, 10 loops each)
可见向量化计算能大幅度地提高性能,因此能用向量化计算的地方尽量用向量化计算
Last updated